第5回 数式入力をしてみよう!
皆さんこんにちは!
今日ホロ元は飛行機で熊本へ旅立ったのですが、台風のせいで揺れが~~
明日大事な会議があるのですが、飛行機に乗るだけでへとへとです。
そんなことは置いておいて、今回は[数式]を入力してみましょう。
・[数式入力]とは?
前回までで国語や社会などはノートが取れるようになったと思います。
しかし、数学や理科の科目では数式は必要不可欠な要素になります。
ホロ元は[物理学]を専攻していたため、それはもう毎日のように数字だけでなく、Σやら∫などの数学記号を使うわけです。

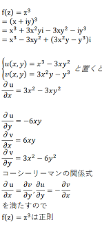
上のやたら長々しい頭痛のする、人によってはお経にも見えるらしいこの数式は、実際に私が取っていたノートの一部です。
ここまで専門的な数式は、小中学生では使うことはないと思いますが、高校生になるとΣや、微分、積分記号が登場します。
中学校までの数式であれば簡単にノートできますので、実際にやってみましょう。
・[数式]は[Alt]+[;]
数式入力は上部の[挿入]タブから[数式]とクリックしても、もちろん入力できるのですが、慣れてくると[Alt]キー+[;]キーのショートカットを使うと、素早く入力できます。
[;]キーは一般的な日本語のキーボードであれば「L」キーの右にあります。 かな文字入力の「れ」のキーですね。
ショートカットもしくは[挿入]から[数式]をクリックすると、[ここに数式を入力します]というテキストが表示されると思います。
では早速、1+1を入力してみましょう。

心の声:「えーいちいち[数式]なんて使わなくても1+1くらいできるって」
そうなんです。
1+1や200÷2、2×2、などの「四則演算(小学校で習う足す、引く、掛ける、割る)」は[数式]機能なんて使わなくてもできるんです。
と こ ろ が
それでは「分数」や「べき乗」など、数学として避けて通ることのできない、多くの表し方が表現できないのです。
・[数式]機能を使いこなそう
[数式]機能で表現できることを個別に紹介します。
・べき乗(指数)
〇べき乗とは、中学校で学習する「2×2×2×2」など同じ数字を一度にかけるときわかりやすくする表記法です。
多分中学校以降の数学で最も多用する表記です。

上の右辺(イコールの右側)が、べき乗の表記です。
この式の右辺の入力法は[数式]の[ここに数式を入力します]に[2^3]と入力し、スペースキーを押します。
[^]という文字は[ここに数式を入力します]という場所の中では、次に入力された数字や文字を前の文字の右上に小さく乗せる働きをします。
・分数
〇これが一番簡単な[数式]機能です。
例えば、2分の1(半分)を入力する場合[1/2]と入力しスペースキーを押します。
ここで、注意しなければならないのが、日本語では「2分の1」「3分の1」3のように分母(分数で下にくる部分)が最初に呼ばれるのに対して、入力では[1/2]、[1/3]など分子(分数の上の部分)から入力しなければなりません。
これは、英語では、分数は分子が先に呼ばれるという文化の違いから来ています。
・微分・積分
高校生以上では微積は必ずと言ってもいいほど、数学で使います。
ホロ元は物理でしたので、それはもう微積ばかりでした。

〇まずは微分記号
これはもともとが分数と同じ見た目なのでちょっと上でやったものの応用で[dx/dy]でOK!
ついでに偏微分
偏微分の記号∂は「でる」と入力して変換することによって表記できます。
〇次に積分
これは「積分」を変換して「∫」を出し、スペースキーを押すことによって表記できます。
「∫□」となると思うので□にカーソルを合わせ数字を入力します。
応用で「∫∫」のような「二重積分」も表記できます。
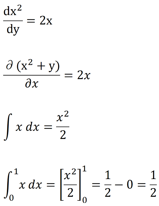
〇定積分
定積分というのは積分記号∫の上下に数字が付いたものです。
これの入力法は[∫]を入力した後矢印キーで入力カーソルを移動することでできます。
文章では難しいので実際にやってみましょう
[∫]を入力した後スペースキーを押すと[∫□]になります。
ここでキーボードの[←]矢印キーを押してください。
[∫]の肩(右上)に□が出てきたと思います。 この状態で数字を入力してください。
そしてもう一度[←]矢印キーを押すことで[∫]の下にも入力できます。
・添え字
添え字とは、数字の右下に小さく別の数字や文字が付く表記法です。

例えば画像の左上のaに1が付いた表記をする場合[a_1]と入力してスペースキーを押します。
一つ上の「定積分」のところで、カッコの上に1、下に0が付いていると思いますが、この表記はべき乗[^1]と、この添え字[_0]の応用で表記しています。
・[数式ツール]を使おう
ここまでショートカットがいくつか出てきましたが、実はすべて[数式ツール]というものを使えばマウス一つでできるんです。

[挿入]から[数式]をクリック、もしくは[Alt]+[;]のショートカットで[数式]機能を使うと[数式ツール]というタブが出てきます。
[構造]にはこれまで紹介したすべての機能に加え、ショートカットではなかなか使えないアクセント(ベクトルなど)や場合分けのかっこ、それにシグマなどが使えます。
使い方はクリックするだけなのですが、使ってみて 結構めんどくさいんですねこれ
いちいちマウスもってクリックして、というめんどくささがあり、ホロ元はショートカットできるものはショートカットしてしまったほうが楽と感じます。
・デジタルペンで数式を入力しよう
ホロ元が小中学生にお勧めしたい入力法がこれ、[インクから数式]機能

ホロ元の雑な数字でもきちんと読み込んでくれました。
使い方は[数式ツール]の右から二番目の[インクから数式]をクリックするだけ
後は手書きで[挿入]なのですが、この機能スタイラスペン(デジタルペン)が必須で、マウスでできないことはないのですが、たぶんめんどくさいです。
高校生以上になると授業のスピードや扱う難度などでこちらを使うよりショートカットを使うほうが正確で速くなると思いますが、小中学生でもコンピュータが認識する文字にはコツがあるので、ショートカットとキーボードのほうが正確で速いと思います。
個人差もあるので、慣れるまでデジタルペンで入力、慣れてからも使い分けできるといいですね。
・どんどん変換をしよう
実は、[数式]機能のショートカットの多くは文字や単語の変換でできるんです。
例えば、積分でつかった「∫」は[せきぶん]の文字変換で出してスペースでしたよね?
個人的によく使うのは→ これは全角入力で[->]と入力してスペースキーを押すことでできます。
それ以外にも多くのモノが変換で表現できます。
ほかにも「≠」
これは、[/=]とこちらは半角で入力するとできます。
では「≅」はどう入力すればいいでしょうか?
もうわかりましたよね?
半角で[~=]です。
さて、今回は[数式]についてでした。
これさえあれば数学のノートは、ばっちりですよ。
今回のまとめ
[数式]機能によってノートに表現できる幅が一気に大きくなる。
これまではPCでノートをとることを前提に記事を書いていたので
次回は、大事な環境についてまとめられたらと思います。